【轉載】中國農業科學專題文章 | 必威betways 劉軍課題組探析水楊酸引發提高低溫下水稻種子萌發活力的生理與分子效應
水稻是我國最重要的糧食作物之一,其種子的萌發質量在很大程度上決定著營養體建成以及稻米的產量和品質。種子引發通過將種子預吸脹處理,增強酶活性、提前動員代謝物及營養物質轉運,是一種有效的增強作物抗逆能力,提高種子萌發、成苗,甚至產量的播前處理方法。作為喜溫作物,水稻對溫度反應敏感,在15—20 ℃時種子發芽緩慢,生長發育受到不利影響。然而在我國多個亞熱帶水稻產區,直播稻播種後極易遭受低溫脅迫,給水稻的高產、穩產帶來嚴重威脅。因此,通過引發處理提高種子在低溫下的成苗能力對確保水稻栽培質量以及稻米產量與品質具有重要意義。
近期,必威betways 農業生物基因研究中心/廣東省農作物種質資源保護與利用重點實驗室劉軍課題組完成的題為“水楊酸引發提高低溫下水稻種子萌發活力的生理與分子效應”的研究在《中國農業科學》2024年第57卷7期正式發表。
以秈型三係雜交水稻泰豐優208種子為材料,通過種子引發處理,分析SA對種子低溫萌發活力及生理的影響,並通過qRT-PCR技術分析ABA、GA和擴展蛋白基因響應SA引發的表達模式。

水稻種子在常溫(28 ℃)和低溫(15 ℃)下的萌發進程和內源水楊酸濃度
低溫(15 ℃)顯著推遲水稻種子萌發進程。在低溫下萌發1 d種子中,其內源SA濃度是常溫(28 ℃)下的1.7倍;但對於5 d的幼苗而言,低溫下的SA濃度僅為常溫下濃度的0.6%。SA引發可有效提高種子在低溫下的萌發活力,尤其以2 000 μmol·L-1SA效果最為顯著,該濃度顯著提高了低溫下種子的發芽指數、活力指數、芽長、根長、鮮重和幹重,其中活力指數分別為未引發種子(CK1)和水引發種子(CK2)的3和2倍。

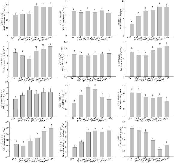
在生理指標方麵,SA引發提高了低溫萌發過程中種子的可溶性糖、脯氨酸以及活性氧含量,增加了總澱粉酶、β-澱粉酶、超氧化物歧化酶
(SOD)和過氧化氫酶(CAT)活性,降低了丙二醛(MDA)含量。與CK1相比,2 000 μmol·L-1SA引發將種子ABA含量降低了79%,同時將IAA和GA1含量增加了32.2%和2.66倍。

水稻種子低溫萌發下的生理指標變化
在基因表達方麵,對於2 必威betway中文版入口 000 μmol·L-1SA引發的種子,ABA合成基因OsNCED2和OsNCED3的表達量分別比CK1降低了94.26%和90.24%;而ABA分解基因OsABA8’ox2和OsABA8’ox3的表達量分別為CK1的5.9和3.9倍。與CK1相比,SA引發顯著上調了GA合成基因OsCPS1、OsKAO和OsGA20ox1的表達量,並顯著下調GA分解基因OsGA2ox2和OsGA2ox6的表達量。在幾個候選的細胞壁鬆弛因子擴展蛋白基因中,除了OsEXPB11外,其餘幾個同源基因均在一定程度上被引發而上調表達。與CK1相比,2 000 μmol·L-1SA引發分別使OsEXPA2、OsEXPB4和OsEXPB6的表達量上調12.2、5.9和6.1倍。

GA合成和分解相關基因表達分析
SA引發可顯著緩解低溫對於水稻種子萌發和幼苗生長的影響。可能是由於SA提高SOD、CAT等抗氧化酶活性,降低MDA的產生,增加可溶性糖和脯氨酸的含量,進而增強種子和幼苗對於低溫的耐受能力。另一方麵,SA引發通過降低種子內源ABA含量,增加GA1含量,增強總澱粉酶和β-澱粉酶活性,促進細胞壁鬆弛相關基因的表達,從而促進低溫下的種子萌發和幼苗生長。
該研究獲廣東省重點領域研發計劃(2020B0202090003,2022B0202110003)、廣東省自然科學基金(2022A1515012302)、必威betways 農業優勢產業學科團隊建設項目(202132TD)的資助。
來源:中國農業科學